François PETRELIS
CNRS, Laboratoire de Physique de l'Ecole Normale Supérieure (ENS Paris)

We are interested in turbulent flows and perform experiments to investigate their properties.

Two-phase flow

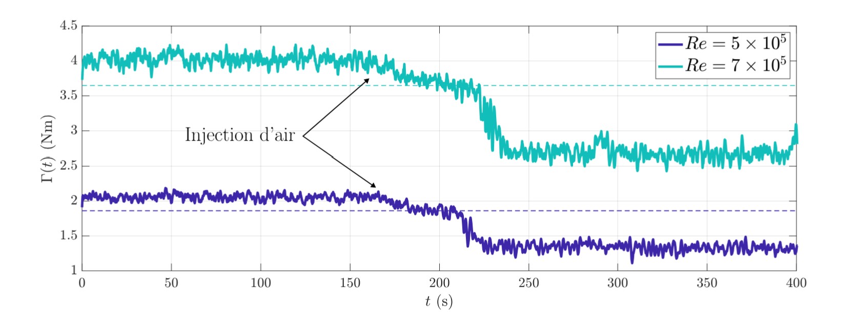
Two-phase flows play an important role in the atmosphere, in the ocean, and in industry, for example in clouds, sea spray, and heat exchangers. We are trying to identify the fundamental laws that control the properties of these systems. Are turbulent flows of liquid water modified by the presence of air bubbles? Do these flows in turn affect the properties of the bubbles? One example of a recent result is the discovery of a surprising and drastic reduction in the power required to maintain a given velocity in a turbulent liquid flow when a small fraction of gas is injected into it. This phenomenon is associated with a bifurcation in the flow structure that can be described by a low-dimensional dynamic system, despite the enormous number of degrees of freedom involved.

Drastic reduction of the torque in a swirling flow of air and water

airinj
Time series of the torque applied to each disk to maintain a constant speed. The two disks rotate at different frequencies. Air is injected that produces a small reduction of the torque followed by a transition to a state with a large torque reduction.

V. Mouet Ph. D Thesis >>



Heat transport in Rayleigh Bénard convection with phase change

  •    Rayleigh-Bénard convection with phase change close to the critical point
    V. Mouet, G. Michel, F. Pétrélis, S. Fauve,
    Physical Review Letters 134, 104001 (2025)

  • Spatial and temporal properties of turbulent flows

    Spontaneous generation of temperature fluctuations. Effect on the propagation of sound. Behavior of the large scales of turbulent flow or in wave turbulence.

  •    Experimental observation of spontaneous temperature fluctuations in turbulent flows
    G. Prabhudesai, S. Perrard, F. Pétrélis, S. Fauve,
    Europhysics Letters 141, 43002 (2023)

  •    Statistics of phase fluctuations of an acoustic wave propagating through a turbulent flow
    G. Prabhudesai, S. Perrard, F. Pétrélis, S. Fauve,
    Europhysics Letters 140, 43001 (2022)

  •    Coherence of velocity fluctuations in turbulent flows
    G. Prabhudesai, S. Perrard, F. Pétrélis, S. Fauve,
    Physical Review Letters 128, 014501 (2022)

  •    Observation of thermal equilibrium in capillary wave turbulence
    G. Michel, F. Pétrélis, S. Fauve,
    Physical Review Letters, (118), 144502 (2017)

  • 1/f fluctuations of the large scales of a 2D turbulent flow

    We studied the behavior of the large scales of a 2D flow generated by a small scale periodic in space forcing. These large scales display spontaneous reversals and exhibits 1/f fluctuations. These fluctuations result from the non trivial behavior of the intereversal waiting time that are distributed as a power-law.

  •    Bifurcations of a large-scale circulation in a quasi-bidimensional turbulent flow
    G. Michel, J. Herault, F. Pétrélis, S. Fauve,
    EPL, (115), 64004, (2016)

  •    1/f^alpha Fluctuations in Turbulent Flows : Transitions with Heavy-Tailed Distributed Interevent Durations
    J. Herault, F. Pétrélis, S. Fauve,
    Journal of Statistical Physics (161), 1379-1389 (2015)

  •    Experimental observation of 1/f noise in quasi- bidimensional turbulent flows
    J. Herault, F. Pétrélis, S. Fauve,
    Europhysics Letters (111), 44002 (2015)

  •    Reversals of a large scale field over a turbulent background
    B. Gallet, J. Herault, C. Laroche, F. Pétrélis, S. Fauve,
    Geophysical and Astrophysical fluid Dynamics 106, 468-492 (2012)

  • Bounding theories for turbulent and chaotic systems

  •    Bounds on the dissipation in the Lorenz system
    Pétrélis F, Pétrélis N,
    Physics Letters A 326 (1-2), 85-92 (2004)

  •    Bounds in the dissipation in magne- tohydrodynamic problem in plane shear geometry
    Pétrélis F, Alexakis A, Doering CR, Morrison PJ,
    Physics of Plasmas 10 (11), 4314-4323 (2003)

  •    Bounds on dissipation in magneto- hydrodynamic Couette and Hartmann shear flows
    Alexakis A, Pétrélis F, Morrison PJ, Doering CR,
    Physics of Plasmas 10 (11), 4324-4334 (2003)